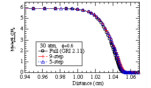
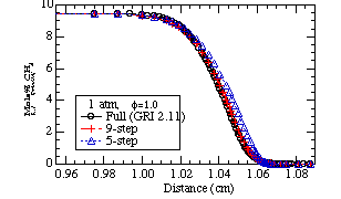
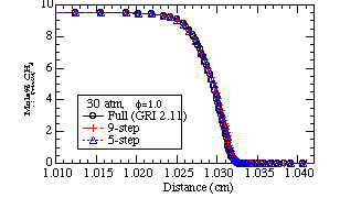
FIG6. MOLE % CH4 Vs. DISTANCE (Tinlet = 300 K)

FIG6. MOLE % CH4 Vs. DISTANCE (Tinlet = 300 K)

Pressure = 1 atm : (a) phi = 0.6 (left), (b) phi = 1.0 (right)



Pressure = 30 atm : (a) phi = 0.6 (left), (b) phi = 1.0 (right)