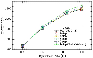
FIG2. TEMPERATURE Vs. EQUIVALENCE RATIO

(a). 1atm, Tinlet = 600 K, and tau = 2 ms


(b). 30 atm, Tinlet = 600 K, and tau = 2 ms